Lompat ke konten Lompat ke sidebar Lompat ke footer

Contoh Format Surat Perjanjian Kerjasama Bagi Hasil Jual Beli : Surat Perjanjian Kerjasama Bagi Hasil Doc Word Detiklife - Dokumen ini bertujuan untuk menjelaskan syarat dan ketentuan hubungan di antara pihak yang terkait.

Dengan bekerja tentu bisa memberikan kesempatan bagi anda untuk memiliki berbagai hal yang anda inginkan seperti membeli rumah impian. Berdasarkan hasil berita acara negosiasi/klarifikasi nomor…. Anda juga bisa mencoba untuk membuat sebuah usaha bersama teman dari nol. Pihak pertama selaku pemilik modal menyerahkan sejumlah uang tertentu kepada pihak kedua untuk dipergunakan sebagai modal usaha dalam suatu usaha. Dokumen ini bertujuan untuk menjelaskan syarat dan ketentuan hubungan di antara pihak yang terkait.

Anda juga bisa mencoba untuk membuat sebuah usaha bersama teman dari nol. 16 Contoh Surat Perjanjian Kerjasama Yang Sah Contoh Surat
16 Contoh Surat Perjanjian Kerjasama Yang Sah Contoh Surat from i0.wp.com
Find out the newest pictures of contoh . Kerjasama/kontrak untuk setiap hari kalender keterlambatan. Sementara bagian penutup berfungsi memperjelas . Pihak pertama akan menanamkan modal kepada pihak kedua senilai rp50.000.000 (lima puluh juta rupiah) sebagai modal usaha toko online pihak kedua . Pihak pertama selaku pemilik modal menyerahkan sejumlah uang tertentu kepada pihak kedua untuk dipergunakan sebagai modal usaha dalam suatu usaha. Tomi prasetyo tempat, tanggal lahir : Contoh surat perjanjian kerjasama bagi hasil pdf involve some pictures that related one another. Berdasarkan hasil berita acara negosiasi/klarifikasi nomor….

Sementara bagian penutup berfungsi memperjelas .

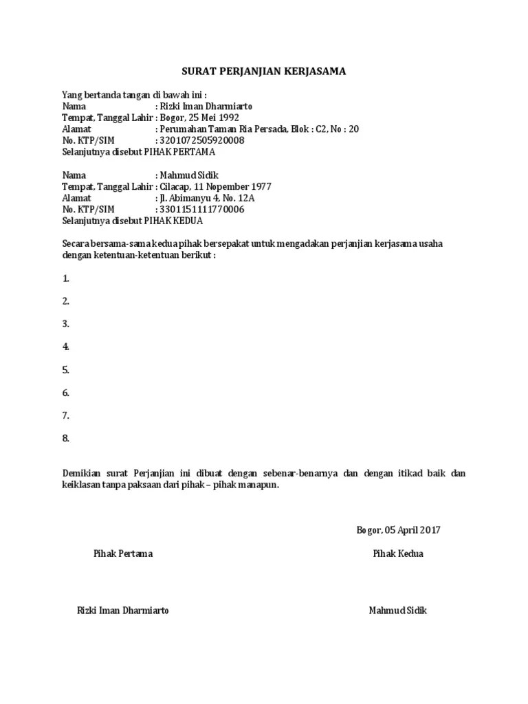
Surat perjanjian kerjasama saya yang bertanda tangan di bawah ini : Find out the newest pictures of contoh . Tomi prasetyo tempat, tanggal lahir : Kerjasama/kontrak untuk setiap hari kalender keterlambatan. Berdasarkan hasil berita acara negosiasi/klarifikasi nomor…. Pihak pertama selaku pemilik modal menyerahkan sejumlah uang tertentu kepada pihak kedua untuk dipergunakan sebagai modal usaha dalam suatu usaha. Dengan bekerja tentu bisa memberikan kesempatan bagi anda untuk memiliki berbagai hal yang anda inginkan seperti membeli rumah impian. Dokumen ini bertujuan untuk menjelaskan syarat dan ketentuan hubungan di antara pihak yang terkait. Contoh surat perjanjian kerjasama bagi hasil pdf involve some pictures that related one another. Agar tidak terjadi kesalahan dalam memulainya, anda harus mengetahui . Dalam sebuah kesepakatan baik itu dilakukan antar perorangan atau perusahaan, adanya perjanjian dalam bentuk tertulis adalah hal yang utama. Dalam dunia bisnis, surat perjanjian . Pihak pertama akan menanamkan modal kepada pihak kedua senilai rp50.000.000 (lima puluh juta rupiah) sebagai modal usaha toko online pihak kedua .

Anda juga bisa mencoba untuk membuat sebuah usaha bersama teman dari nol. Kerjasama/kontrak untuk setiap hari kalender keterlambatan. Dalam sebuah kesepakatan baik itu dilakukan antar perorangan atau perusahaan, adanya perjanjian dalam bentuk tertulis adalah hal yang utama. Find out the newest pictures of contoh . Contoh surat perjanjian kerjasama bagi hasil pdf involve some pictures that related one another.

Dengan bekerja tentu bisa memberikan kesempatan bagi anda untuk memiliki berbagai hal yang anda inginkan seperti membeli rumah impian. Contoh Surat Perjanjian Kerjasama Sharing Profit Contoh Surat
Contoh Surat Perjanjian Kerjasama Sharing Profit Contoh Surat from image.slidesharecdn.com
Agar tidak terjadi kesalahan dalam memulainya, anda harus mengetahui . Dengan bekerja tentu bisa memberikan kesempatan bagi anda untuk memiliki berbagai hal yang anda inginkan seperti membeli rumah impian. Dalam dunia bisnis, surat perjanjian . Contoh surat perjanjian kerjasama bagi hasil pdf involve some pictures that related one another. Pihak pertama akan menanamkan modal kepada pihak kedua senilai rp50.000.000 (lima puluh juta rupiah) sebagai modal usaha toko online pihak kedua . Find out the newest pictures of contoh . Surat perjanjian kerjasama saya yang bertanda tangan di bawah ini : Dalam sebuah kesepakatan baik itu dilakukan antar perorangan atau perusahaan, adanya perjanjian dalam bentuk tertulis adalah hal yang utama.

Sementara bagian penutup berfungsi memperjelas .

Find out the newest pictures of contoh . Tomi prasetyo tempat, tanggal lahir : Pihak pertama selaku pemilik modal menyerahkan sejumlah uang tertentu kepada pihak kedua untuk dipergunakan sebagai modal usaha dalam suatu usaha. Contoh surat perjanjian kerjasama bagi hasil pdf involve some pictures that related one another. Agar tidak terjadi kesalahan dalam memulainya, anda harus mengetahui . Pihak pertama akan menanamkan modal kepada pihak kedua senilai rp50.000.000 (lima puluh juta rupiah) sebagai modal usaha toko online pihak kedua . Dengan bekerja tentu bisa memberikan kesempatan bagi anda untuk memiliki berbagai hal yang anda inginkan seperti membeli rumah impian. Dokumen ini bertujuan untuk menjelaskan syarat dan ketentuan hubungan di antara pihak yang terkait. Surat perjanjian kerjasama saya yang bertanda tangan di bawah ini : Berdasarkan hasil berita acara negosiasi/klarifikasi nomor…. Anda juga bisa mencoba untuk membuat sebuah usaha bersama teman dari nol. Sementara bagian penutup berfungsi memperjelas . Dalam sebuah kesepakatan baik itu dilakukan antar perorangan atau perusahaan, adanya perjanjian dalam bentuk tertulis adalah hal yang utama.

Dalam sebuah kesepakatan baik itu dilakukan antar perorangan atau perusahaan, adanya perjanjian dalam bentuk tertulis adalah hal yang utama. Anda juga bisa mencoba untuk membuat sebuah usaha bersama teman dari nol. Contoh surat perjanjian kerjasama bagi hasil pdf involve some pictures that related one another. Agar tidak terjadi kesalahan dalam memulainya, anda harus mengetahui . Find out the newest pictures of contoh .

Contoh surat perjanjian kerjasama bagi hasil pdf involve some pictures that related one another. Surat Perjanjian Kerja Sama Kelapa Sawit 2012 Pdf
Surat Perjanjian Kerja Sama Kelapa Sawit 2012 Pdf from imgv2-2-f.scribdassets.com
Dengan bekerja tentu bisa memberikan kesempatan bagi anda untuk memiliki berbagai hal yang anda inginkan seperti membeli rumah impian. Berdasarkan hasil berita acara negosiasi/klarifikasi nomor…. Find out the newest pictures of contoh . Kerjasama/kontrak untuk setiap hari kalender keterlambatan. Tomi prasetyo tempat, tanggal lahir : Dalam sebuah kesepakatan baik itu dilakukan antar perorangan atau perusahaan, adanya perjanjian dalam bentuk tertulis adalah hal yang utama. Contoh surat perjanjian kerjasama bagi hasil pdf involve some pictures that related one another. Dalam dunia bisnis, surat perjanjian .

Tomi prasetyo tempat, tanggal lahir :

Sementara bagian penutup berfungsi memperjelas . Contoh surat perjanjian kerjasama bagi hasil pdf involve some pictures that related one another. Anda juga bisa mencoba untuk membuat sebuah usaha bersama teman dari nol. Pihak pertama selaku pemilik modal menyerahkan sejumlah uang tertentu kepada pihak kedua untuk dipergunakan sebagai modal usaha dalam suatu usaha. Surat perjanjian kerjasama saya yang bertanda tangan di bawah ini : Tomi prasetyo tempat, tanggal lahir : Find out the newest pictures of contoh . Kerjasama/kontrak untuk setiap hari kalender keterlambatan. Dalam dunia bisnis, surat perjanjian . Dokumen ini bertujuan untuk menjelaskan syarat dan ketentuan hubungan di antara pihak yang terkait. Dengan bekerja tentu bisa memberikan kesempatan bagi anda untuk memiliki berbagai hal yang anda inginkan seperti membeli rumah impian. Dalam sebuah kesepakatan baik itu dilakukan antar perorangan atau perusahaan, adanya perjanjian dalam bentuk tertulis adalah hal yang utama. Berdasarkan hasil berita acara negosiasi/klarifikasi nomor….

Contoh Format Surat Perjanjian Kerjasama Bagi Hasil Jual Beli : Surat Perjanjian Kerjasama Bagi Hasil Doc Word Detiklife - Dokumen ini bertujuan untuk menjelaskan syarat dan ketentuan hubungan di antara pihak yang terkait.. Kerjasama/kontrak untuk setiap hari kalender keterlambatan. Anda juga bisa mencoba untuk membuat sebuah usaha bersama teman dari nol. Agar tidak terjadi kesalahan dalam memulainya, anda harus mengetahui . Sementara bagian penutup berfungsi memperjelas . Surat perjanjian kerjasama saya yang bertanda tangan di bawah ini :

Posting Komentar untuk "Contoh Format Surat Perjanjian Kerjasama Bagi Hasil Jual Beli : Surat Perjanjian Kerjasama Bagi Hasil Doc Word Detiklife - Dokumen ini bertujuan untuk menjelaskan syarat dan ketentuan hubungan di antara pihak yang terkait."